
Desideriamo proporre a tutti i nostri lettori la visione di questo documento stilato a gennaio 2024 e pubblicato il 29 febbraio da parte della Banca Centrale Russa. Questo ennesimo tassello fondamentale va ad unirsi a tutti gli altri documenti ufficiali della banca che abbiamo esposto nell’articolo dedicato alla Russia e Vladimir Putin e a quello sui BRICS.
Per scaricare il documento integrale in lingua inglese basta collegarsi al portale della Banca Centrale Russa a questo link:
Scorrendo, troverete altri documenti molto interessanti. Di seguito si espongono alcune slide significative del documento in questione.


In queste prime slide, possiamo leggere come la banca sottolinei come l’energia green sia un problema che l’industria energetica globale sta cercando di affrontare in sinergia.

Tuttavia, qui comincia il bello. La Russia parla di processo DECARBONIZZAZIONE in funzione del potenziamento dell’energia verde (solare ed eolica e via le altre), ma quello che salta subito all’occhio sono le nuove stime sulle Carbon Tax effettuate tutte in DOLLARI (37 x 1T di Co2). Lo potete leggere nella seconda slide di seguito.



Per un paese sponsorizzato come il dominatore dell’energia fossile e paladino contro l’Agenda mondialista, tutto ciò risulta alquanto strano.
Non contenti, se avete letto bene le slide precedenti, la Russia stima un aumento a 135 dollari x 1T di Co2. E ancora si menziona alla Decarbonizzazione del 100% dell’economia russa.
Ma il piatto forte arriva nelle slide successive, di cui si suggerisce di fare attenzione alla parte evidenziata in rosso in cui si afferma che:
«Indipendentemente dal fatto che i consumatori preferiscano o meno un clima pulito, una tassa sull’uso del carbonio è lo strumento più efficace.” Sono testuali parole. Nella terza slide precedente, si sottolineano le agevolazioni per le aziende che riducono emissioni.»



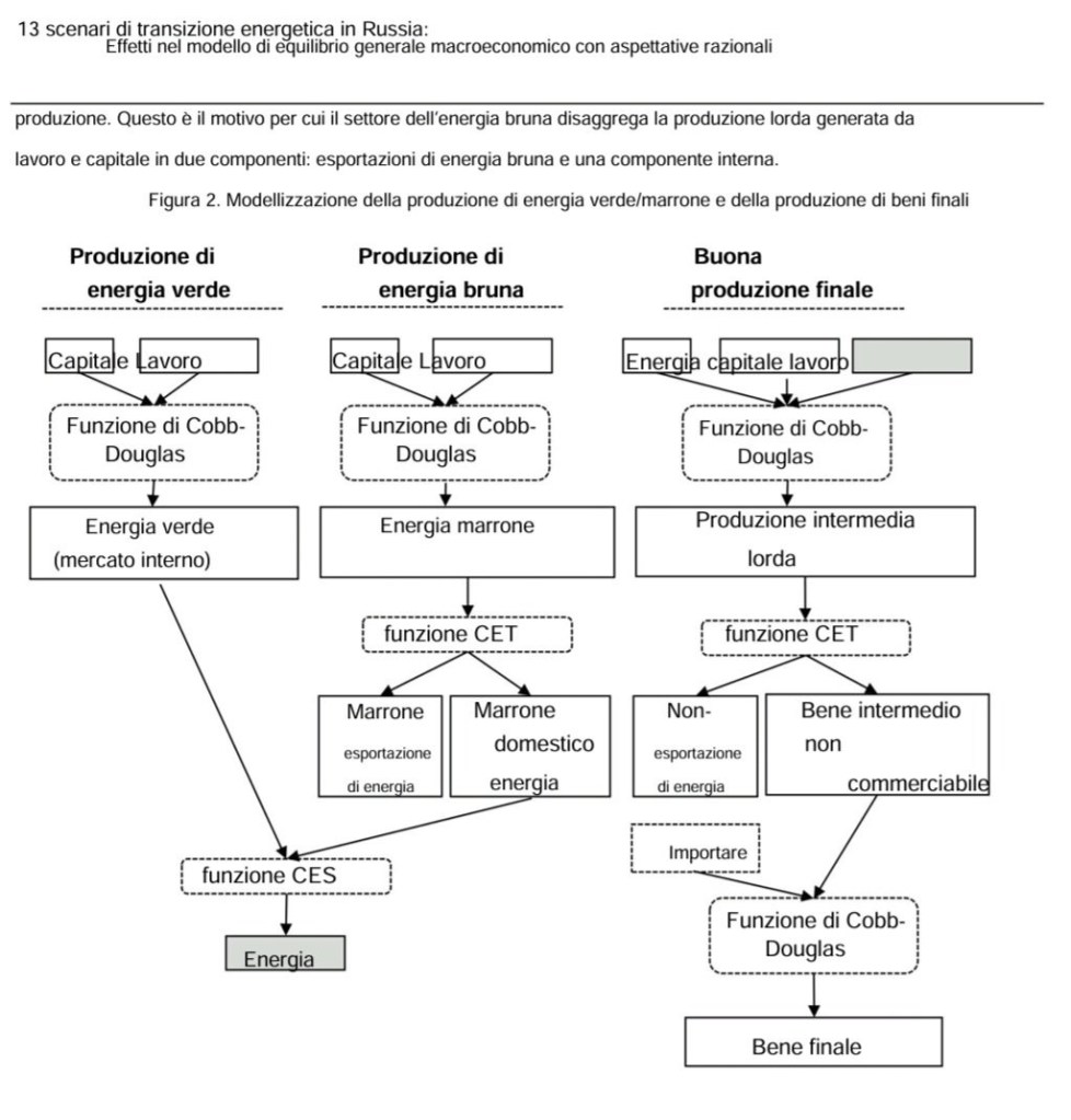
Di seguito, a parte lo schema di produzione energia verde/beni finali, dove poi la banca evidenzia il problema dell’indebolimento della valuta nazionale. Ma come, il Rublo non andava alla grande? E a proposito dei tassi, a corredo, come sono in Russia attualmente rispetto all’Europa? Ne da comunicazione la Banca Centrale russa stessa.




Nelle slide successive, a parte i livelli di esportazione di energia bruna (fossile) la banca sottolinea(slide 3) come nel sistema energetico russo, le aziende paghino già una tassa sul carbonio.



Successivamente, nella seconda slide, se leggete in basso, la banca fa un’affermazione “sconcertante” (per chi crede ancora a certi falsi miti). Le stime sulla C02, ancora una volta sono tutte in dollari, arrivando addirittura a dare già un valore in seno al tasso di cambio dollaro/rublo per Kwh e Co2/Kwh.


Avete letto bene? Mi auguro di sì.
Proseguiamo.

Dunque, insieme a tutte le altre prove e i fatti esposti nel blog, è lecito chiedersi quale dedolarizzazione sia in atto? La verità è che c’è un dollaro che cambia pelle, nè più nè meno. Lascio a voi l’onere di commentare le slide successive.



A questo punto però, risulta necessario integrare con un documento ufficiale del RREDA (Russian Renewable Eenergy Development Association) che trovate sul loro portale ufficiale a questo indirizzo:

Bene, l’Associazione Russa per lo sviluppo delle energie rinnovabili in questo documento datato 11.09.2023 che cosa ci dice? Le società coinvolte nel programma di transizione energetica russo? E quali sono? Gazprom? E di chi è Gazprom? E di chi sono le altre?



Ma cosa ancora più importante, ad esempio, il piano di sviluppo delle energie rinnovabili in seno alla transizione energetica e alle politiche sulla CO2 dei fantomatici BRICS. Vi dice niente? Il documento della banca centrale russa sulla CO2 e la politica monetaria futura che abbiamo inserito nei vari articoli? E tutti gli altri? E gli accordi di Bali che abbiamo postato in più di un’occasione firmati da tutti i paesi del mpondo e che la Russia sta seguendo alla lettera come tutti gli altri?

Anche se li abbiamo già messi, si rimanda ancora visionare gli accordi Bali a questo link:
Di seguito, un piccolo estratto.



Per chi volesse, lo ripetiamo, il rapporto completo del RREDA, invece, è disponibile sul loro portale che abbiamo segnalato prima.
Di seguito ci danno un’ampia panoramica dei piani multilivello che tali società e il governo stesso stanno attuando in Russia per la transizione energetica ai fini di combattere il fantomatico cambiamento climatico, il quale ormai sappiamo a cosa mira in realtà…



E ancora, ci spiega quali sono le leggi e le politiche climatiche vigenti in Russia, comprese le prossime sfide per il raggiungimento degli obiettivi.



Compresi i target di energia rinnovabile nella struttura del consumo energetico russo di cui nessuno parla.


Ebbene, a conti fatti, si può affermare ancora una volta che stiamo entrando in un Nuovo Ordine Mondiale Unipolare che non ha eguali nella storia, di cui la Russia (e la Cina poi) è il perno centrale.
Ma d’altronde ci avevano avvertito. Ancora una volta i fatti dimostrano che Gary Allen aveva ragione.






Lascia un commento